AI detection of discontinuity in newborn EEG
March 4, 2024
by John O'Toole
AI research
The EEG is a complex signal crammed with real-time information on brain function. It is an invaluable tool for monitoring those newborns at risk of brain injury, as abnormal activity in the EEG is indicative of cerebral dysfunction.
Excessive discontinuity is probably the most prominent EEG abnormality of the background pattern. Periods of discontinuity are characterised by peak-to-peak voltage below a defined threshold. Although some discontinuity in the EEG is expected in the EEG of healthy newborns, excessive and prolonged periods are not. Our primary goal was to build an AI model that could automatically detect these periods of discontinuous activity (PDA). Because we needed to annotate lots of PDAs to train an AI model, this presented a unique opportunity to analyse the temporal and spatial evolution of the PDAs themselves—a largely unexplored area. This work can be found in the 2 posters, which were presented at the International Newborn Brain Conference in February of this year (2024).
A unique dataset of PDA annotations
We annotated PDAs at a sub-second level on a per-channel basis. This process resulted in over 37,000 separate PDA events across 80 hours of EEG recorded from 50 newborns. Armed with this incredibly rich dataset of annotations, we found the surprising result that these PDA events are not always time synchronised and, therefore, channel independent:

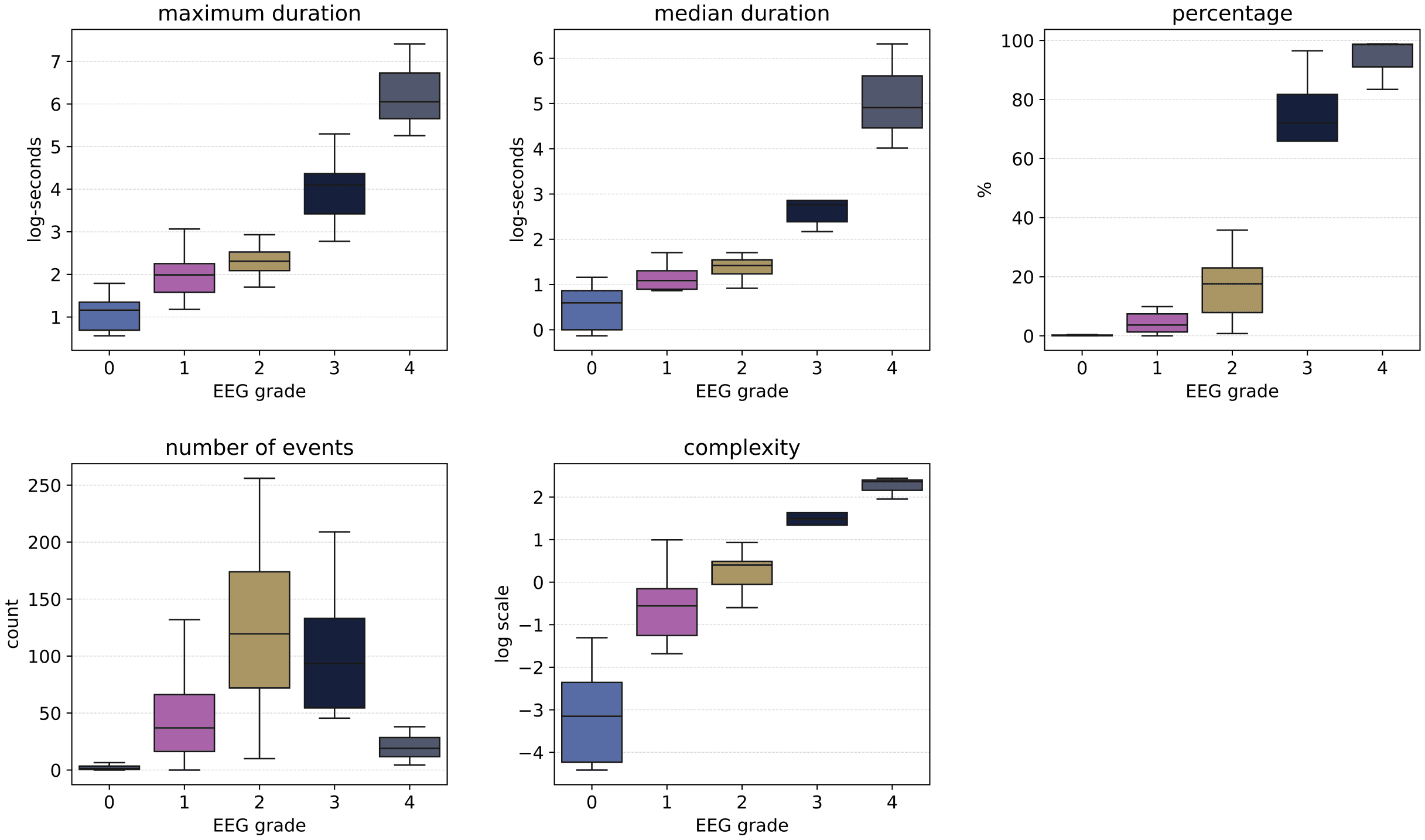
We also found that the PDAs are strongly correlated with EEG grades, and this strong association remains even with just two EEG channels.
AI to detect PDAs
Next, we developed an AI model to automatically detect PDAs. We built a deep-learning model by adapting a modern version of the convolutional network¹. We worked on developing efficient methods for the data loader, specific data augmentation techniques, and finding and tuning an appropriate learning-rate scheduler. We also worked on making the network scalable, an important attribute when defining a network architecture for this particular dataset.
Our hard work paid off: the model performed well when testing on left-out data, with an area-under-the-receiver-operator-characteristic curve (AUC) of 0.980 and an area-under-the-precision-recall curve of 0.931. We also found that the AI model can generate clinically-relevant PDA features that are closely associated with grades of EEG background activity:

EEG grades:
0: normal
1: mildly abnormal
2: moderately abnormal
3: severely abnormal
4: isoelectric
CergenX Wave
In summary, we find that PDAs are often channel-independent, but all channels are equally descriptive. Importantly for our CergenX Wave device, we found that annotations from a 2-channel montage, like the full 8-channel montage, are highly correlated to different grades of EEG background activity. Our new AI model can detect PDAs with a high-level of accuracy and its per-channel nature ensures maximum flexibility for implementation with different channel montages. Automated detection and quantification of PDAs form a core component of our CergenX Wave AI.
¹Z Liu, H Mao, CY Wu, C Feichtenhofer, T Darrell, S Xie. A convnet for the 2020s. In Proceedings of the IEEE/CVF Conference on Computer Vision and Pattern Recognition 2020:11976–11986